Authors:
Michelle Pannor Silver1*, Angela D Hamilton2, Aviroop Biswas3 and Sarah A Williams4
1University of Toronto Institute of Health Policy, Management and Evaluation, and the University of Toronto Scarborough Campus, Canada
2University of Toronto Scarborough Campus, Canada
3University of Toronto Institute of Health Policy, Management and Evaluation, Canada
4University of Toronto Department of Anthropology, Canada
Received: 23 November, 2015; Accepted: 22 December, 2015; Published: 02 January, 2016
Michelle Pannor Silver, 1265 Military Trail Toronto, Ontario Canada, M1C1A4, Tel: 416-287-5642; Fax: 416-287-7283; E-mail:
Silver MP, Hamilton AD, Biswas A, Williams SA (2016) Life after Medicine: A Systematic Review of Studies of Physicians’ Adjustment to Retirement. Arch Community Med Public Health 2(1): 001-007. DOI: 10.17352/2455-5479.000006
© 2016 Silver MP, et al. This is an open-access article distributed under the terms of the Creative Commons Attribution License, which permits unrestricted use, distribution, and reproduction in any medium, provided the original author and source are credited.
Background: A physician’s decision to retire has personal and social consequences. While there has been growing interest in how individuals adjust to retirement, less is known about physicians’ adjustment to retirement.
Objectives: To identify and examine: 1) factors that influence how well physicians adjust to retirement; 2) reasons physicians give for retiring; and 3) advice physicians give for a successful adjustment to retirement.
Methods: A systematic review of the literature was performed by searching Medline, Web of Science, Scopus, CINAHL, Ageline, Embase, Health star, ASSA, and PsycINFO databases for peer-reviewed studies published with quantitative and/or qualitative analyses of physicians’ adjustment to, satisfaction with, and/or quality of life in retirement. Two independent reviewers performed data abstraction, a quality assessment and an additional reviewer resolved inconsistencies. Content analysis was used to identify and stratify information from selected studies into themes and subthemes.
Results: Based on analyses of 12 articles that met the eligibility criteria, it is evident that retirement from medicine was seen as a generally favorable phenomenon. Financial security, favorable health, engagement in activities, and psychosocial well-being were identified as key factors relevant to physician retirement adjustment. Findings suggest that physicians’ retirement transitions could be eased by a greater focus on financial planning, implementation of strategies to encourage the development of outside interests, and institutional retirement planning that honors the physician and takes place mid-career or well in advance of retirement.
Conclusions: Advance planning to ensure that physicians have a strong financial situation, good health, engagement in activities outside of medicine, and positive psychosocial dynamics are likely to enhance adjustment to retirement for physicians. Future studies should account for multiple interrelating factors such as gender, changes over time, and spousal retirement to further enhance our understanding of physicians’ adjustment to retirement.
Introduction
Interest in the factors that promote adjustment to life after work has become an increasingly relevant and critical topic of study [1,2], particularly because transitioning to retirement can be associated with depression and other challenges [3-5]. An increase in the number of physicians facing critical retirement decisions has been projected as North American physicians enter traditional retirement age [6,7]. However, less is known about what constitutes successful adjustment to retirement for physicians and how a positive transition might be facilitated.
Health care has undergone rapid changes in the last several decades while models of training and practice have not kept up, resulting in great stressors for practicing physicians [8,9]. Concerns about the aging physician population have largely centered on early attrition [8], burnout [9], the high costs associated with replacing retired physicians [10], and fears about shortages in the supply of physicians relative to the demands of a growing aging population [11,12]. Other evidence suggests that physicians may be reluctant to retire due to fears of losing their personal identity and life purpose [13-16]. Understanding the needs of physicians and factors that support their successful adjustment to late career transitions is a critical area for study.
For many older workers, retirement comes as a welcome respite at the end of a lifetime of toil, while for others it is a fearful time of unknowns where one’s identity and standing in the world are called into question and eventually re-made into something new and not necessarily welcomed. As increasing life expectancies extend the amount of time people spend in retirement to as many as three or four decades, retirement itself becomes a life stage with considerable importance and opportunity for growth and personal development. Medicine is an all-consuming and demanding profession. Physicians enter into medicine after lengthy training and are required to treat individuals at their most vulnerable state. After decades of practice and dedication to patients, physicians may have spent little time thinking about or planning for retirement. Toward the later part of their life-course, physicians may also become vulnerable and knowledge about how to enhance their adjustment to retirement can be helpful for both encouraging the hesitant physician to retire and for ensuring that the transition to retirement is made in a way that maximizes the chances of a smoother transition.
This systemic review examined the current state of what is known about physicians’ adjustment to retirement and identifies potential gaps in this literature by addressing three research questions: 1) what factors influence how well physicians adjust to retirement?; 2) what reasons do physicians give for retiring?; and 3) what advice do physicians give for a successful adjustment to retirement?
Method
Search strategy
We followed the Preferred Reporting Items for Systematic Reviews and Meta-Analyses (PRISMA) guidelines in the reporting and production of this systematic review [17]. The PRISMA checklist is included as Additional File 1. Published articles were searched using Medline, Web of Science, Scopus, CINAHL, Ageline, Embase, Healthstar, ASSIA, and PsychINFO databases. Each author participated in the identification and final selection of studies.
Inclusion criteria
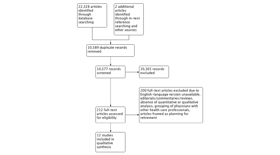
Our inclusion criteria were published peer-reviewed studies with quantitative and/or qualitative analyses of physicians’ adjustment to, satisfaction with, quality of life in, and/or opinions about retirement. Keywords in our search strategy included, ‘physician’ and ‘retire’ with appropriate synonyms. The full search strategy appears as Additional File 2. After discussion, the search strategy was narrowed to English-language articles up to November 2015 with no limit set for the earliest possible date of publication. We also conducted hand searching of citation lists for eligible studies and relevant review articles. We excluded a substantial portion of articles that appeared in our initial search on the basis of their being duplicate records, editorials, commentaries, articles that were not based on original data collection, articles grouping physicians with other healthcare professionals, or studies that focused on retirement planning among non-retired physicians (Figure 1).
- Yang Y (2012) Is adjustment to retirement an individual responsibility? Socio-contextual conditions and options available to retired persons: The Korean perspective. Ageing Soc 32: 177-195.
- Reitzes DC, Mutran EJ (2004) The transition to retirement: Stages and factors that influence retirement adjustment. Int J Aging Hum Dev 59: 63-84.
- Quick HE, Moen P (1998) Gender, employment and retirement quality: A life course approach to the differential experiences of men and women. J Occup Health Psychol 3: 44-64.
- Wang M (2007) Profiling retirees in the retirement transition and adjustment process: Examining the longitudinal change patterns of retirees' psychological well-being. J Appl Psychol 92: 455-474.
- Kirch DG, Henderson MK, Dill MJ (2012) Physician workforce projections in an era of health care reform. Annu Rev Med 63: 435-445.
- Association of American Medical Colleges. 2013 State Physician Workforce Data Book Center for Workforce Studies. Washington, DC: Association of American Medical College: 2014.
- Salsberg E, Grover A (2006) Physician workforce shortages: Implications and issues for academic health centers and policymakers. Acad Med 81: 782-787.
- Fortney L, Luchterhand C, Zakletskaia L, Zgierska A, Rakel D (2013) Abbreviated mindfulness intervention for job satisfaction, quality of life, and compassion in primary care clinicians: A pilot study. Ann Fam Med 11: 412-420.
- Kjeldmand D, Holmstrom I (2008) Balint groups as a means to increase job satisfaction and prevent burnout among general practitioners. Ann Fam Med 6: 138-145.
- Schloss EP, Flanagan DM, Culler CL, Wright AL (2009) Some hidden costs of faculty turnover in clinical departments in one academic medical center. Acad Med 84: 32-36.
- Petterson SM, Liaw WR, Tran C, Bazemore AW (2015) Estimating the residency expansion required to avoid projected primary care physician shortages by 2035. Ann Fam Med 13: 107-114.
- Pong RW, Lemire F, Tepper J (2007) Physician retirement in Canada: what is known and what needs to be done. Proceedings of the 10th International Medical Workforce Conference, Vancouver, British Columbia.
- Silver MP, Pang NC, Williams SA (2015) "Why give up something that works so well?": Retirement expectations among academic physicians. Educ Gerontol 41: 333-347.
- Collier R (2008) Diagnosing the aging physician. CMAJ 178: 1121-1123.
- Reuben DB, Silliman RG (1988) Lessons from elderly physicians: Reflections on practice, changes in medicine, and retirement. J Appl Gerontol 7: 49-59.
- Cronan JJ (2009) Retirement: It's not about the finances! J Am Coll Radiol 6: 242-245.
- Moher D, Liberati A, Tetzlaff J, Altman DG (2009) Preferred reporting items for systematic reviews and meta-analyses: The PRISMA statement. Ann Intern Med 151: 264-269.
- http://www.cebma.org/wp-content/uploads/Critical-Appraisal-Questions-for-a-Survey.pdf http://www.cebma.org/wp-content/uploads/Critical-Appraisal-Questions-for-a-Survey.pdf
- CASP (2015) The Critical Appraisal Skills Programme Systematic Review Checklist. Accessed 03/23. 2013.
- Bunn F, Goodman C, Pinkney E, Drennan VM (2015) Specialist nursing and community support for the carers of people with dementia living at home: An evidence synthesis. Health Soc Care Community Epub ahead of print.
- Schadewaldt V, McInnes E, Hiller JE, Gardner A (2013) Views and experiences of nurse practitioners and medical practitioners with collaborative practice in primary health care - an integrative review. BMC Fam Pract 14: 132.
- Reed MC, Wood V, Harrington R, Paterson J (2012) Developing stroke rehabilitation and community services: A meta-synthesis of qualitative literature. Disabil Rehabil 34: 553-563.
- Vaismoradi M, Turunen H, Bondas T (2013) Content analysis and thematic analysis: Implications for conducting a qualitative descriptive study. Nurs Health Sci 15: 398-405.
- Elo S, Kyngäs H (2008) The qualitative content analysis process. J Adv Nurs 62: 107-115.
- Austrom MG, Perkins AJ, Damush TM, Hendrie HC (2003) Predictors of life satisfaction in retired physicians and spouses. Soc Psychiatry Psychiatr Epidemiol 38: 134-41.
- Jackson JB, Kart CS, Wagner KS, Rowe AR (1985) A survey of retired dentists in the United States. Council on Dental Practice. J Am Dent Assoc 110:386-389.
- Draper B, Winfield S, Luscombe G (1997) The older psychiatrist and retirement. International Journal of Geriatric Psychiatry 12: 233-239.
- Lees E, Liss SE, Cohen IM, Kvale JN, Ostwald SK (2001) Emotional impact of retirement on physicians. Tex Med 97: 66-71.
- McGuirt WF, McGuirt WF (2002) Otolaryngology retirement profile in the Southeastern United States. Laryngoscope 112: 213-215.
- Seim HC, Mitchell JE (1995) Life after medical practice. A retirement profile of Minnesota physicians. Minn Med 78: 27-30.
- Rowe ML (1989) Health, income, and activities of retired physicians. New York State Journal of Medicine 89: 450-453.
- Batchelor AJ (1990) Senior women physicians: The question of retirement. N Y State J Med 90: 292-294.
- Virshup B, Coombs RH (1993) Physicians' adjustment to retirement. West J Med 158: 142-144.
- Peisah C, Gautam M, Goldstein MZ (2009) Medical masters: A pilot study of adaptive ageing in physicians. Australas J Ageing 28: 134-138.
- Ritter MA, Austrom MG, Zhou H, Hendrie HC (1999) Current concepts review-retirement from orthopaedic surgery. J Bone Joint Surg Am 81: 414-418.
- Adams KB, Leibbrandt S, Moon H (2011) A critical review of the literature on social and leisure activity and wellbeing in later life. Ageing Soc 31: 683-712.
- Stearns J, Everard KM, Gjerde CL, Stearns M, Shore W (2013) Understanding the needs and concerns of senior faculty in academic medicine: Building strategies to maintain this critical resource. Acad Med 88: 1927-1933.
- Sklar DP (2015) How do I figure out what I want to do if I don't know who I am supposed to be? Acad Med 90:695-696.
- Schofield D, Fletcher S, Page S, Callander E (2010) Retirement intentions of dentists in New South Wales, Australia. Hum Resour Health 8: 9.
- Schofield DJ, Fletcher SL, Callander EJ (2009) Ageing medical workforce in Australia - where will the medical educators come from? Hum Resour Health 7.
- Jewett EA, Brotherton SE, Ruch-Ross H (2011) A national survey of 'inactive' physicians in the United States of America: Enticements to reentry. Hum Resour Health 9.
- McGuire LK, Bergen MR, Polan ML (2004) Career advancement for women faculty in a US school of medicine: Perceived needs. Acad Med 79: 319-325.
- Meerten M, Rost F, Bland J, Garelick AI (2014) Self-referrals to a doctors' mental health service over 10 years. Occup Med (Lond) 64: 172-176.
- Szinovacz ME, Davey A (2004) Honeymoons and joint lunches: Effects of retirement and spouse's employment on depressive symptoms. J Gerontol B Psychol Sci Soc Sci 59: P233-245.
- van Solinge H, Henkens K (2005) Couples' adjustment to retirement: A multi-actor panel study. J Gerontol B Psychol Sci Soc Sci 60: S11-20.
- Moen P, Kim JE, Hofmeister H (2001) Couples' work/retirement transitions, gender, and marital quality. Soc Psychol Q 64: 55-71.
- Burton KR, Wong IK (2004) A force to contend with: the gender gap closes in Canadian medical schools. Canadian Medical Association Journal 170: 1385-1386.
- McKinstry B (2008) Are there too many female medical graduates? Yes. BMJ 336: 748.
- Nivet MA (2011) Commentary: Diversity 3.0: A necessary systems upgrade. Academic Medicine 86: 1487-1489.
- Frank E, McMurray JE, Linzer M, Elon L (1999) Career satisfaction of US women physicians: results from the Women Physicians' Health Study.Archives of Internal Medicine 159: 1417-1426.
- Gjerberg E (2002) Gender similarities in doctors’ preferences—and gender differences in final specialisation. Social science & medicine 54: 591-605.
- Riska E (2001) Towards gender balance: but will women physicians have an impact on medicine? Social science & medicine 52: 179-187.
- Wallace JE (2014) Gender and Supportive Co-Worker Relations in the Medical Profession. Gender, Work & Organization 21: 1-17.
- Bianchi SM, Milkie MA (2010) Work and family research in the first decade of the 21st century. Journal of Marriage and Family 72: 705-725.
- Nunez-Smith M, Curry LA, Bigby J, Berg D, Krumholz HM, et al. (2007) Impact of race on the professional lives of physicians of African descent. Annals of internal medicine 146: 45-51.
- Rosenblatt RA, Andrilla CHA (2005) The impact of US medical students' debt on their choice of primary care careers: an analysis of data from the 2002 medical school graduation questionnaire. Academic Medicine 80: 815-819.
- Heiligers PJ, Hingstman L (2000) Career preferences and the work–family balance in medicine: gender differences among medical specialists. Social Science & Medicine 50: 1235-1246.
- White RT, Arzi HJ (2005) Longitudinal studies: Designs, validity, practicality, and value. Res Sci Educ 35: 137-149.
- Farnell B, Graham LR (2014) Discourse-centered methods. In: Bernard HR, Gravlee CC (eds). Handbook of Methods in Cultural Anthropology. ed. Rowman & Littlefield.
- Webster F, Rice K, Dainty KN, Zwarenstein M, Durant S, et al. (2015) Failure to cope: The hidden curriculum of emergency department wait times and the implications for clinical training. Acad Med 1: 56-62.





Figure 1:
Data extraction and quality assessment
We extracted the following information from qualifying articles: (i) geographic details, study design, data collection methodology, response rate, physician specialty; (ii) major factors and questions related to adjustment to retirement; (iii) descriptive statistics related to demographic characteristics of the sample, including retirement age related statistics; and (iv) findings related to reasons for retiring, enhanced quality of life in retirement, and recommendations related to adjustment. We assessed articles for methodological quality using the Center for Evidence-based Management Appraisal Questions for a Survey Tool [18], and the Critical Appraisal Skills Programme Qualitative Research Checklist [19]. Both tools have demonstrated reliability and validity when examining the views of healthcare professionals [20-22]. Two reviewers (AB and SW) independently assessed each article for methodological quality. Where rating inconsistencies could not be settled by consensus, they were resolved by the corresponding author (MPS). The results of the quality assessment are summarized in Additional File 3.
Information collected from the included studies was identified and stratified into themes and subthemes using content analysis [23]. This qualitative data analysis process follows an inductive and deductive procedure in which data is first prepared and then organized under higher order headings [24]. Categories were informed by the frequency of a theme’s occurrence and used to formulate a conceptual understanding of response patterns within the data set. To enhance rigour and replicability of our protocols, we included an audit trail to record completed tasks and track key decisions made with regard to the selection of articles.
Results
Study characteristics
The characteristics of the 12 articles included in our review are featured in Table 1. Study publication dates ranged from 1985 to 2009. The majority of studies were conducted exclusively in the United States (n = 9) with the exception of three studies based in Australia, Canada, New Zealand, and Turkey. The majority of the sampled physicians retired between 60 and 70 years old. The following theoretical frameworks were incorporated into the analyses of two studies: role theory [25] and continuity theory [26].
Table 1:
Characteristics of studies included in review.
80% still working
91% retired
With regard to quality assessment, the majority of studies scored highly for sample representativeness, use of appropriate methodology, and development of existing knowledge on the topic. However, studies generally scored poorly in response rate, validity, and reliability of measurement methods. Overall, many of the factors identified as motivating or facilitating retirement were corroborated across multiple studies, as were factors associated with a difficult retirement. This suggests a strong degree of similarity of experience across medical specialties, generations, and countries. Factors motivating physician retirement and specific advice for retiring are summarized in Table 2.
Table 2:
Reasons Physicians Retire.
Synthesis of the findings
Financial well being: Financial insecurity or costs relevant to practice were commonly cited as reasons for retiring [27-30]. A higher income prior to retirement corresponded with greater post-retirement satisfaction than a lower income [28,29,31]. Three studies examined income sources in retirement and found that the majority of retirement incomes were from savings, pensions, and social security [26,31,32]. Retirement incomes from these sources were generally considered satisfactory to comfortable/excellent, but a minority of studies reported that physicians had encountered challenges in achieving the accumulation and maintenance of sufficient finances post-retirement [26,31,32]. Overall, retirement was reported as a period of relative financial stability and security. However, it should be acknowledged that physicians without sufficient savings and investments to ensure financial stability during retirement were more likely to remain working and would thus not have met the inclusion criteria for many of the studies [29,31,32].
Health
Good health was viewed as an essential privilege and enabler of favorable adjustment to retirement [33]. Austrom [25], reported that 79% of respondents had rated their health in retirement as good or better as compared to their pre-retirement health. In the two studies that examined mental health, the retired physicians who reported having emotional difficulties while in the workforce found that these difficulties tended to improve when in retirement [28,33] (Table 3).
Table 3:
Advice for Physicians about Retirement.
Activities: Respondents in several studies acknowledged their continued participation in professional activities despite self-identifying as fully retired [26-28,34]. Medical activities in retirement included lecturing and writing, attending grand rounds and conferences, and performing medico-legal work [34]. Engaging in physical activities, leisure activities, non-sporting hobbies, and spending time with family were also found to be key factors that promoted and enhanced adaptation to retirement.
Psychosocial dynamics
Five studies indicated that respondents retired for personal or family reasons [25-27,29,35]. Physicians experienced improvements in the quality of their familial relationships and an increased freedom to spend time with family and relatives post-retirement [25,33,35]. Spousal relationships also impacted retiree life satisfaction and happiness. A significant number of respondents found relationships with their spouse and children improved after retirement [33,35] and concluded that this improvement was likely to contribute to increased life satisfaction [35]. Lees et al. [30], found that poor spousal health correlated with retiree depression and circumscribed social and physical activities pre- and post-retirement.
Advice for physicians contemplating retirement
Financial advice was frequently given in response to the broad solicitation of general retirement advice [25,26,28,29,31,32,35]. Having leisure activities, hobbies, and interests outside of medicine were reported as important ways to enhance life satisfaction during retirement [25,27,29,31,34,35]. In contrast, physicians who were reluctant to retire and let go of their professional role had more difficulty adjusting to retirement [25].
Discussion
Despite their fears, most physician respondents in the studies included in this review had a generally positive adjustment to retirement. Consistent with research among non-physician populations [36], physician’s successful adjustment to retirement was linked with engaging in leisure activities, psychosocial well-being, and good health. However in contrast to studies of non-physician populations, findings demonstrated that physicians were often strongly reluctant to give up all engagement with medicine and found outlets to remain involved with the medical enterprise. Findings highlight the importance of planning for a successful adjustment to retirement and suggest that mature physicians may have their own mentoring needs as retirement nears that should be addressed. Our findings suggest that a physician’s transition into retirement could be eased and encouraged by a greater focus on financial planning, the development of outside interests, and ultimately, institutional retirement planning that recognizes contributions through honorific titles and privileges. In addition to developing later career mentorship programs to help with transitions such as retirement, it is also evident that medical institutions ought to consider how retired physicians can continue to serve as valuable assets [37,38]. Similarly, institutions can engage retiring physicians within the medical enterprise [39,40], as educators or by encouraging a re-entry into the workforce [41].
A notable finding from this review was that while most studies inquired about physical health, only two considered the relationship between physician mental health issues and the likelihood of making a successful transition to retirement [28,34]. This omission follows trends within physician-related research where discussions of mental health concerns have often been lacking despite evidence that these are important determinants of physician well-being [43]. Also, in contrast to many studies on retirement among non-physician populations which have focused on spousal retirement or couples’ adjustment to retirement [44-46], only one study focused on the impact of a physician’s spouse on retirement adjustment [25]. This focus on physicians as though they are independent of social or familial networks oversimplifies the complex nature of well-being and positive adjustment to retirement.
There have been considerable shifts in physician demographics over the past 60 years [47,48]. While previous generations of North American physicians have largely been white and male, the diversification of the profession over the past 60 years is now becoming evident in retiring cohorts [47,49]. Studies have demonstrated the ways in which women and minority physicians may experience the trajectories of their medical careers differently than past generations [50-53], and research on retirement experiences outside of medicine indicates that later-life transitions also differ by gender, ethnicity, and socio-economic class [54]. None of the articles reviewed for this study reported the race or ethnicity of participants nor included the impact of race or ethnicity in their analyses. While it is possible that such an omission is due to the systemic and institutional barriers to medical practice for people of color in the mid-1900s, resulting in a limited number of minority physicians of retirement age today, ignoring the considerable effects of race on physicians’ career trajectories misses a crucial factor in successful retirement transitions. Studies of the medical career course for physicians of color have found that minority physicians were more likely to report lower rates of career satisfaction and experience limited promotion opportunities ascribed to institutional bias and racism [55]. Minority physicians have also been identified as having more medical school debt than their white colleagues and this has been connected to circumscribed choice regarding specialty and type of medical practice [56]. The effects of race and ethnicity on physicians’ medical careers and eventual retirement warrant attention in studies of physician retirement and should be examined further.
Additionally, though the past forty years has seen a considerable rise in our understanding of how gender deeply affects the experience of post-working life, this was seldom incorporated or addressed in the studies we encountered. While the gender distributions within the studies may roughly reflect the proportion of women who entered medicine in the 1930s-1960s and have since retired, such figures are extremely low to be considered representative of the current population of working and soon to be retired female physicians. As more female physicians enter the later years of their careers, retirement research on physicians will need to expand its focus to better understand the gendered experiences of retirement and be able to offer a nuanced, diverse analysis of the retirement needs of younger generations of physicians which, as McGuire, Bergen, and Polan [42], noted, are comprised of increasing numbers of women physicians whose retirement needs may differ from those of male physicians. A methodological barrier to examining women physicians’ retirement adjustment may have occurred because many of the reviewed articles used professional organizations’ registries and membership lists as a means of identifying retired physicians. Prior studies have found that female physicians are less likely than their male colleagues to join professional organizations or maintain affiliations throughout the career course, and thus the membership lists used to identify study participants do not reflect the gender diversity of physicians [47,57]. That said, institutions seeking to develop or improve retirement protocols, policies, and support require research that takes into account the diversity of contemporary medicine and the differing needs of physicians with varying life trajectories, family structures, and goals.
As no study tracked changes in individuals throughout their retirement processes, the studies were unable to detect shifts or developments in the characteristics of subjects at the group or individual level [58]. However, as retirement is a process that may span decades, surveys that only query retirees at a single point in time lack the ability to fully contribute to our understanding of physicians’ adjustment to retirement. Furthermore, despite the appropriateness of qualitative methods for illuminating the potential complexities of physicians’ perspectives on their retirement preparedness [59,60], we found limited use of these methods within the available literature.
Strengths and limitations
To our knowledge, this is the first systematic review of studies about physician adjustment to retirement. Our findings should, however, be considered in light of the limitations of this review. One key limitation is that we only examined studies published in English. In addition, because all of the studies examined in this review used a cross sectional design and used limited analyses, we were unable to perform a meta-analysis of the included studies. The cross-sectional study designs in conjunction with the low response rates may suggest that those who responded were in more favourable and/or financially stable situations.
Conclusion
This systematic review found that physician adjustment to retirement is generally favourable. Key determinants of successful adjustment were identified as maintaining a strong financial situation, good health, engaging in activities, and sustaining positive psychosocial dynamics. Future research on physician adjustment to retirement may benefit from a greater focus on incorporating a theoretical perspective into study designs and accounting for multiple interrelating factors such as gender, changes over time, and spousal retirement.